2020年3月刀片电池以征服针刺测试而广为人知,动力电池的安全性也由此备受关注。很多消费者想要了解更多刀片电池的安全信息,除了针刺测试之外,刀片电池还接受过哪些测试?表现如何呢?我们一探究竟。

挤压测试 保障碰撞事故中的生命安全
挤压测试是动力电池测试不可或缺的重要项目,它可以模拟汽车发生碰撞,动力电池挤压变形的情况下,检验动力电池的安全性能。国家标准对于挤压测试要求是比较严苛的:动力电池在变形达到30%,并且在一个小时内,不能发生起火、爆炸现象。
挤压测试中,刀片电池在变形达到30%并且放置一小时的过程没有发生起火、爆炸现象。在交通事故中不爆炸、不起火,可以保证车主免受二次伤害,也在最大限度保护车主的生命、财产安全,这是比亚迪对于动力电池的安全要求。

炉温测试 烤验动力电池高温安全屏障
炉温测试又称为加热测试,主要用来测试动力电池在高温条件下的安全性能。国标要求用持续加热的方式将动力电池加热至130°C,并保持温度30分钟,在此期间,动力电池不能发生起火、爆炸现象。
刀片电池使用磷酸铁锂材料,耐高温性能更加优异。炉温测试中,刀片电池在超过国家标准要求温度2倍多、达到300°高温情况下保持30分钟,期间没有出现起火或者爆炸等现象。当遇到停车场相邻车辆起火等状况,刀片电池超强的耐高温性能,能够让新能源汽车在高温环境下最大限度保证电池安全。

过充测试 专防充电系统故障
过充是新能源汽车自燃事故的主要元凶之一。由于充电系统故障,电池在充满电的情况下继续充电从而导致过充,继而引发新能源汽车自燃的事件已发生多起。
动力电池防过充能力越强,整车自燃的几率就会越低。过充测试可以模拟电池过充的情况下,检测电池的防热失控能力。国标要求以1倍率电流恒流充电至终止电压的1.5倍时终止充电,并且观察一小时不得出现起火、爆炸现象。
在过充测试中,比亚迪刀片电池以1倍率电流充电至终止电压的2.6倍时终止充电,并且在1小时观察期内没有出现起火、爆炸等现象。用更高的防过充标准降低由过充引发自燃的几率,刀片电池让新能源汽车的安全性能更上一层楼。

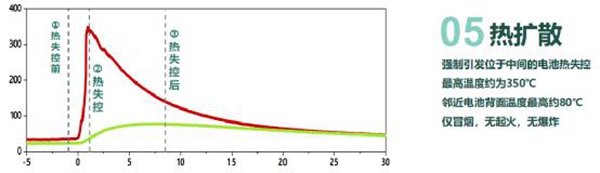
强制电芯热失控 整包依然坐怀不乱
热失控是引发动力电池自燃的导火索,为了检测刀片电池在热失控情况下的安全性能,比亚迪对刀片电池进行强制热失控测试,人为造成电池包内某个电池单体发生热失控,观察整包电池的安全性能。
电芯强制热失控,在刀片电池自我隔热、阻燃系统的配合下,并没有造成临近电芯的热失控。旁边电芯最高温度为80°C,并未达到磷酸铁锂电池热失控的温度条件。单个电芯的热失控并没有引发相邻电芯的连锁反应,因此整包电池的安全性能依旧。

经过千锤百炼的严格测试,刀片电池的全面安全性能得到了充分的验证,将真正安全的新能源车交给广大消费者。刀片电池的出现让新能源汽车性能优势愈加明显,取代燃油车,推动绿色出行将成为不可逆转的历史大势。
同意用户协议和版权声明 已有账号?马上登录 →
车务网服务条款
您只有无条件接受以下所有服务条款,才能继续申请:
1、服务条款的确认和接纳
车务网服务涉及到的车务网产品的所有权以及相关软件的知识产权归车务网所有。车务网所提供的服务必须按照其发布的章程,服务条款和操作规则严格执行。本服务条款的效力范围及于车务网的一切产品和服务,用户在享受车务网任何单项服务时,应当受本服务条款的约束。用户通过进入注册程序并点击“我接受”的按钮,即表示用户与车务网已达成协议,自愿接受本服务条款的所有内容。
当用户使用车务网各单项服务时,用户的使用行为视为其对该单项服务的服务条款以及车务网在该单项服务中发出的各类公告的同意。
2、服务简介
车务网运用自己的操作系统通过国际互联网络为用户提供各项服务。用户必须:
(1)提供设备,包括个人电脑一台、调制解调器一个及配备上网装置。
(2)个人上网和支付与此服务有关的电话费用。
考虑到车务网产品服务的重要性,用户同意:
(1)提供及时、详尽及准确的个人资料。
(2)不断更新注册资料,符合及时、详尽准确的要求。所有原始键入的资料将引用为注册资料。
另外,用户可授权车务网向第三方透露其注册资料,否则车务网不能公开用户的姓名、住址、电子邮箱、帐号。除非:
(1)用户要求车务网或授权某人通过电子邮件服务透露这些信息。
(2)相应的法律、法规要求及程序服务需要车务网提供用户的个人资料。
如果用户提供的资料不准确,不真实,不合法有效,车务网保留结束用户使用车务网各项服务的权利。用户在享用车务网各项服务的同时,同意接受车务网提供的各类信息服务。
3、服务条款的修改
车务网有权在必要时修改本服务条款以及各单项服务的相关条款。用户在享受单项服务时,应当及时查阅了解修改的内容,并自觉遵守本服务条款以及该单项服务的相关条款。
4、服务修订
车务网保留随时修改或中断服务而不需通知用户的权利。用户接受车务网行使修改或中断服务的权利,车务网不需对用户或第三方负责。
5、用户隐私制度
尊重用户个人隐私是车务网的一项基本政策。所以,作为对以上第二点个人注册资料分析的补充,车务网一定不会公开、修改或透露用户的注册资料及保存在车务网各项服务中的